Exo 7
Soit
une suite décroissante de réels strictement positifs.
Pour tout
et tout entier
, on pose :
.
Question
Question
Montrer que la série
converge normalement sur
si et seulement si la série
converge.
Déterminez un équivalent du maximum de
sur
.
La série
converge normalement sur
si et seulement si la série
converge.
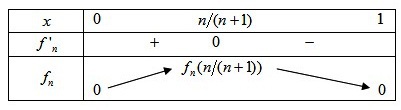
Pour tout
, la fonction
est dérivable sur
et
.
On obtient le tableau de variations suivant :

Donc
admet un maximum en
. Donc :
.
Donc :
.
Or :
. Donc :
.
Donc les séries
et
sont de même nature.
Conclusion : La série
converge normalement sur
si et seulement si la série
converge.
Question
Montrer que la série
converge uniformément sur
si et seulement si la suite
converge vers
.
Montrez que le reste de la série vérifie :
si
est la limite de
.
On a vu que la série
converge simplement sur
.
On pose :
.
La série
converge uniformément sur
si et seulement si la suite
converge uniformément vers
.
On a :
, et :
.
La suite
est décroissante et minorée par
, donc convergente vers un réel
.
Donc :
. Et :
.
Donc :
, et :
.
Or :
, donc :
.
Donc en faisant tendre
vers
:
.
Si la série
converge uniformément sur
, alors la suite
converge uniformément vers
, donc
.
Si la suite
converge vers
, alors :
, donc la suite
converge uniformément vers
.
Conclusion : La série
converge uniformément sur
si et seulement si la suite
converge vers
.





