Primitives
Définition :
Une fonction
est une primitive d'une fonction
sur un intervalle
si la fonction
est dérivable sur
et si
.
Fondamental :
Propriétés
Deux primitives sur
d'une même fonction diffèrent d'une constante.Si
et
, il existe au plus une primitive
telle que
.
Exemple : Sur l'intervalle
, la fonction logarithme népérien est l'unique primitive de la fonction
qui s'annule en
.
Fondamental :
Théorème fondamental
Soit
une fonction continue par morceaux sur un intervalle
.
Si
, la fonction
est l'unique primitive de
sur
qui s'annule en
.
Conséquences :
Toute fonction continue par morceaux sur un intervalle
admet des primitives.
pour toute primitive
de
sur
.
Pour calculer une intégrale, il suffit donc de connaître une primitive de la fonction.
Fondamental :
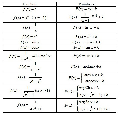
Primitives usuelles

Fondamental :
Propriétés
Si
et
ont pour primitives
et
sur l'intervalle
, alors
est une primitive de
sur
.Si
est un réel et si
a pour primitive
sur l'intervalle
, alors
est une primitive de
sur
.Si
est une fonction dérivable sur l'intervalle
et si
a pour primitive
sur l'intervalle
, alors
est une primitive de
sur
.
Les deux premières propriétés sont dues à la linéarité de la dérivation.
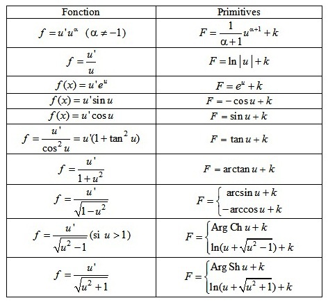
La troisième propriété jointe au tableau des primitives usuelles donne les primitives suivantes :






